Đáp án đề minh họa tuyển sinh 10 TPHCM năm 2026
- WESET DIGITAL
- Blog
MỤC LỤC
Sáng 22-10, Sở Giáo dục và Đào tạo TP.HCM đã công bố đề minh họa 3 môn thi tuyển sinh lớp 10 năm 2026, bao gồm: Toán, Ngữ văn và tiếng Anh. Dưới đây là đáp án tham khảo.
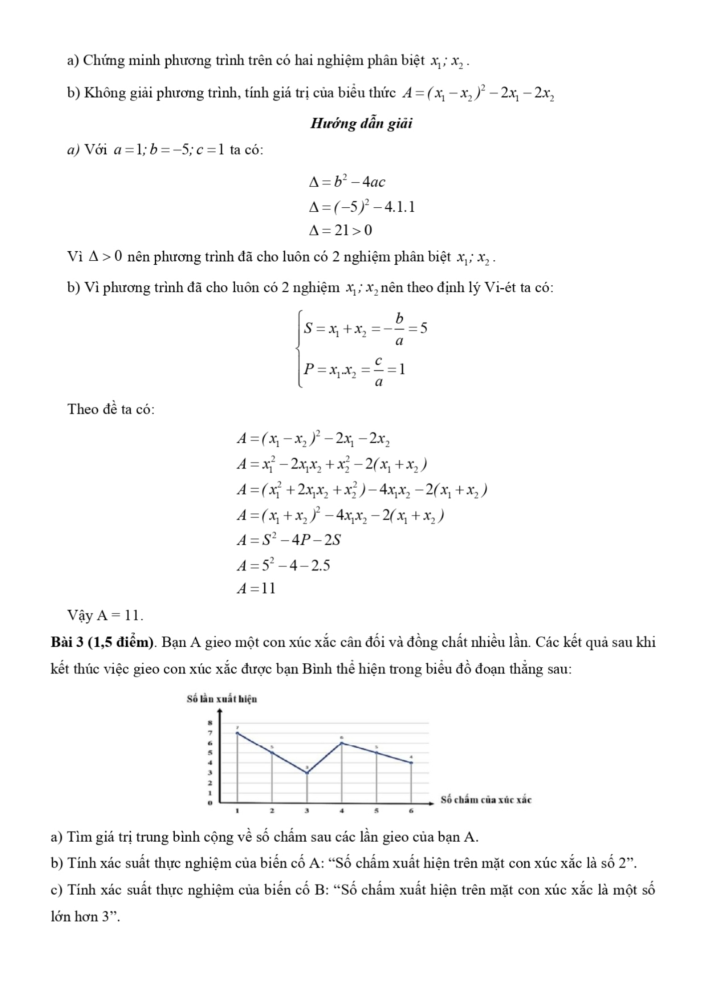
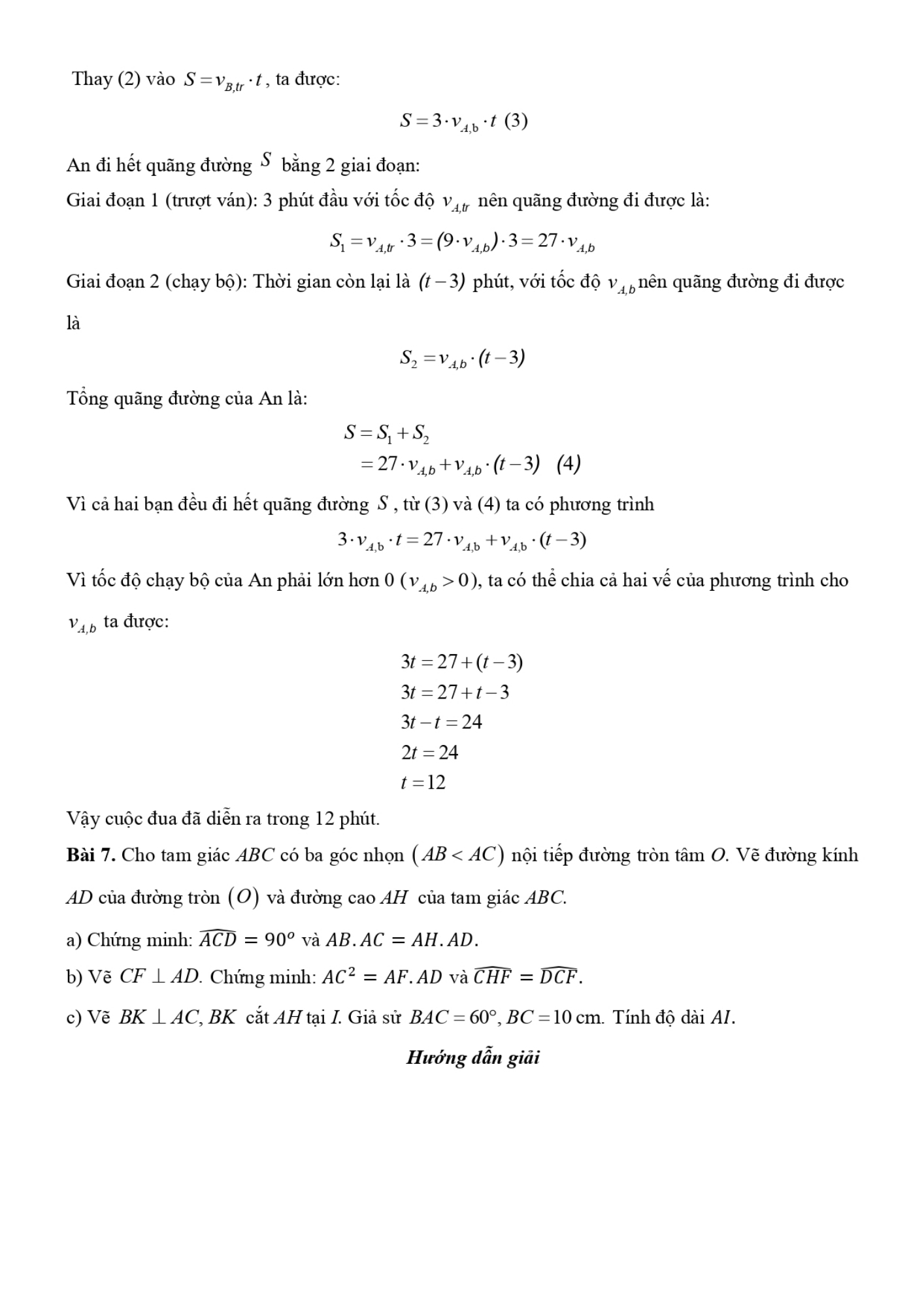
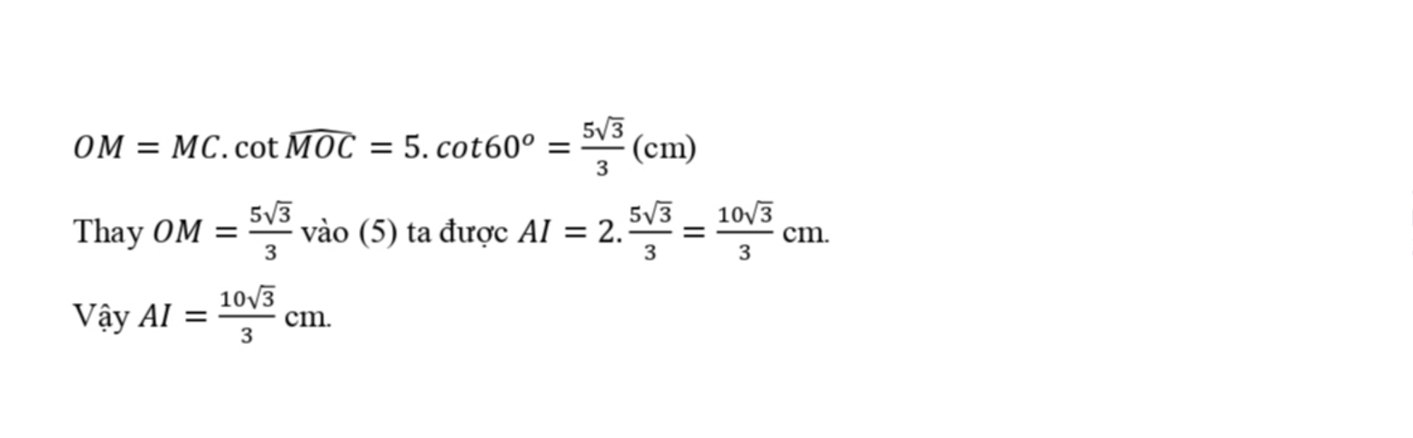
Đáp án môn Toán đề minh họa tuyển sinh 10 năm 2026









Đáp án môn tiếng Anh đề minh họa tuyển sinh 10 năm 2026
Lời kết
Để chuẩn bị thật tốt cho kì thi tuyển sinh 10 năm 2026, quý phụ huynh và học sinh hãy tham khảo đề minh họa của Bộ Giáo Dục TPHCM để có kế hoạch ôn tập thật hợp lí và theo dõi các thông tin liên quan của Bộ Giáo Dục.
Quý phụ huynh và các học sinh có thể tham khảo đề minh họa tuyển sinh 10 3 môn: Toán, Ngữ Văn và tiếng Anh [TẠI ĐÂY]
WESET DIGITAL
Bài viết mới nhất







